Some tips given out to ease learning.

Question 1:
State the main difference between supervised learning and unsupervised learning. Provide one example for each.

Question 2:
What is reinforcement learning? Briefly explain how it differs from supervised learning.

Question 3:
What does dimensionality mean in the context of machine learning?

Question 4:
What is meant by "features" in a machine learning model? Why are they important?

Question 5:
Explain the "curse of dimensionality" in the context of machine learning. How does it affect model performance?

Question 6:
What is unsupervised learning and what are some of its common applications?

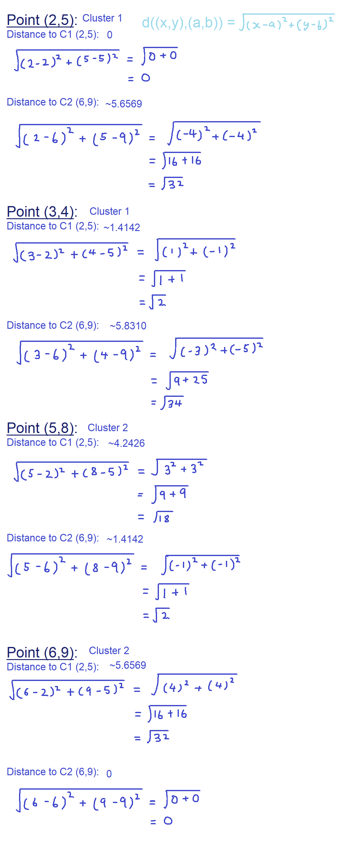
Question 7:
Given the following data points: (2, 5), (3, 4), (5, 8), (6, 9). If you are asked to form 2 clusters using K-Means, and the initial centroids are: Centroid 1: (2, 5) and Centroid 2:(6, 9). Assign each data point to the nearest centroid based on Euclidean distance. Show your calculations.

Question 8:
Given the following dataset with two features (X1 and X2): Sample A (2, 5), Sample B (6, 8). Calculate the covariance matrix for this dataset. Show all your working clearly.

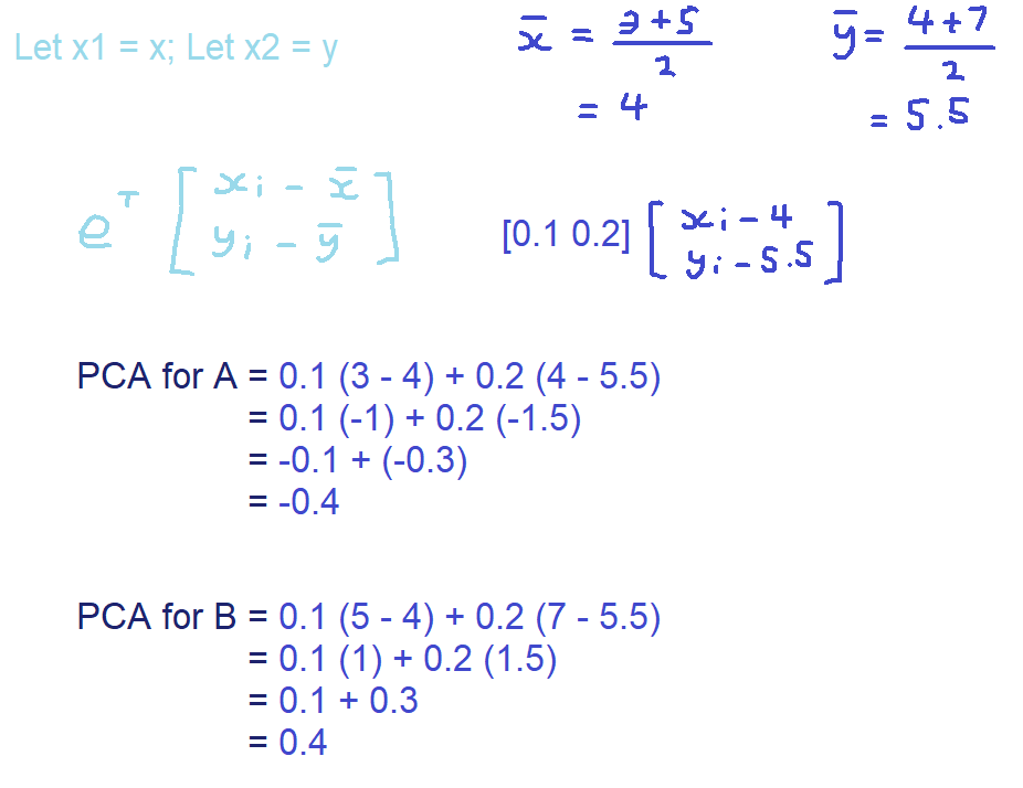
Question 9:
Compute the first principal component for the following data set: Sample A (3, 4), Sample B (5, 7), provided its unit eigen vector is (0.1, 0.2).

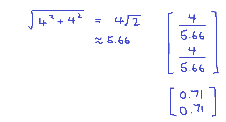
Question 10:
If an eigen vector in SVD is (4, 4), compute its unit eigen vector.

Summary of Topic